• Kennenlernen|
  • Nachschlagen|
  • Spielen
Teilchenphysik für alle!

vorheriger Schritt in Tour
Tour-Inhalt
nächster Schritt in Tour
Startseite » Kennenlernen » Quantenphysik » Photonen in Fernbeziehung - Verschränkung » Bells Ungleichung oder: Und er würfelt doch!
Schließen Öffnen
  • [Icon] mittlerer WissensdurstThema: Quantenphysik
  • [Icon] großer WissensdurstKapitel: Photonen in Fernbeziehung - Verschränkung
Abschnitte des Kapitels
  • [Icon] kleiner WissensdurstAuf Engste in der Ferne verbunden
  • [Icon] mittlerer WissensdurstPolarisierung in der Quantenwelt
  • [Icon] großer WissensdurstKlassische Beziehungen
  • [Icon] mittlerer WissensdurstInformationen schneller als das Licht?
  • [Icon] großer WissensdurstDas EPR-Paradoxon
  • [Icon] großer WissensdurstBells Ungleichung oder: Und er würfelt doch!
  • [Icon] großer WissensdurstWie man Quanten verkuppelt
  • [Icon] mittlerer WissensdurstQuanten-Teleportation
  • [Icon] großer WissensdurstQuanten-Teleportation im Detail

[Icon] großer Wissensdurst Bells Ungleichung oder: Und er würfelt doch!

Könnte es nicht sein, dass die Ergebnisse von Quanten-Messungen schon vor der Messung in den Teilchen stecken? Dass die Eigenschaften eines Quants nur unbekannt und nicht unbestimmt sind? 1964 ersann John Bell ein Experiment, das Licht in diese Frage bringen sollte. Die Antwort lautet: Nein.

[Photo] Spielwürfel

Albert Einstein mochte den Zufall nicht. Er meinte: "Gott würfelt nicht" und glaubte, Quanten besäßen eindeutige Eigenschaften, so genannte verborgene Variablen. Diese könnten zwar nicht beobachtet werden, sie würden aber im Vorfeld jedes Messergebnis festlegen. Die Quantentheorie würde die Welt daher nur unvollständig beschreiben.

Der irische Physiker John Bell grübelte 1964 am Teilchenphysikzentrum CERN darüber nach, wie man endgültig klären könnte, ob die Eigenschaften von zwei Photonen in einer Quanten-Fernbeziehung vielleicht doch schon vor der Messung festgelegt seien. Bell ersann zur Klärung ein Experiment und leitete eine Ungleichung ab, deren Verletzung beweisen würde, dass Einstein irrt und Gott doch würfelt.

Es dauerte bis 1982, bis das entsprechende Experiment durchgeführt wurde. Damals zeigte der französische Physiker Alain Aspect, dass es keine verborgenen Variablen gibt, welche die Photonen mit sich führen. Allerhöchstens könnte es verborgene Variablen geben, die sofort im ganzen Universum zu Veränderungen führen.

Vielleicht würfelt Gott also doch.

Die Bell’sche Ungleichung

Hinter den Bellschen Ungleichungen verbirgt sich keine sonderlich schwere Mathematik, aber recht unübersichtlich ist die Herleitung schon. Im Wesentlichen gilt es, eine Größe D zu konstruieren, die im Fall der Quantentheorie und im Fall einer Theorie mit verborgenen Variablen unterschiedliche Werte bei einer Messung annimmt. Die Experimente sprechen gegen die Theorie verborgener Variablen.

Bei seiner Ungleichung ging Bell von zwei Photonen aus, die über ihre Polarisation in einer Quanten-Fernbeziehung stecken: Die Polarisation beider Quanten soll dabei bezüglich 0 Grad und 90 Grad immer gleich sein.

[Formel]

Wesentlich bei Bells Experiment ist nun, dass die Polarisationen auch bezüglich unterschiedlicher Winkel gemessen werden, zum Beispiel Alpha und Alpha + 90 Grad. Die Zustände |0> oder |90> lassen sich auch bezüglich dieser Winkel schreiben.

[Formel] XXX

Wir können nun den Zustand des ersten Photons mit Hilfe der Winkel Alpha und (Alpha + 90 Grad) und den Zustand des zweiten Photons durch einen anderen Winkel Beta und (Beta + 90 Grad) ausdrücken:

[Formel]

Dabei wurden im letzten Schritt Additionstheoreme für Sinus und Kosinus verwendet.

Im Experiment kommen nun zwei Detektoren zum Einsatz. Der eine misst die Polarisation des ersten Photon bezüglich des Winkels Alpha, der zweiten Detektor misst die Polarisation des zweiten Photons bezüglich des Winkels Beta. Die Wahrscheinlichkeit, dass beide Detektoren anschlagen sei P ++ , dass keiner der Detektoren anschlägt P -- . Zudem gibt es die beiden Fälle P -+ und P +- , bei denen nur einer der beiden Detektoren anschlägt.

Aus der letzten Gleichung lassen sich sehr einfach die vier Wahrscheinlichkeiten berechnen. Dazu müssen nur die Faktoren vor den jeweiligen Zuständen quadriert werden:

[Formel]

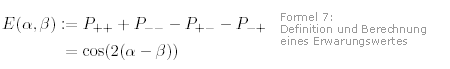
Jetzt können wir eine Größe E konstruieren, die wie folgt aussieht:

[Formel] XXX

Der Wert für E ergibt sich aus den Gleichungen 5 und 6 und ein paar Umformungen mit Sinus und Kosinus. E entspricht nun dem Erwartungswert der Messung M(Alpha)M(Beta), wobei das Ergebnis von M(a) auf den Zustand |a> angewendet "1" lautet und auf den Zustand |a+90> angewendet "-1" beträgt:

[Formel] XXX

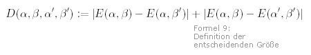
Zudem definieren wir eine Größe D wie folgt:

[Formel] XXX

Bei bestimmten Winkeln

[Formel] XXX

wird diese Größe maximal:

[Formel] XXX

Fall mit verborgenen Variablen

Falls es keinen Zufall in der Quantentheorie gibt, ist das Ergebnis der Messung M durch eine verborgene Variable v bereits im Vorfeld definiert:

[Formel] XXX

Es gilt dann:

[Formel] XXX
[Formel] XXX

Daraus ergibt sich für D im Falle versteckter Variablen:

[Formel] XXX

Dies führt zu einer Ungleichung zwischen den maximalen Werten im Falle der Vollständigkeit der Quantentheorie oder dem Fall versteckter Variablen.

[Formel] XXX
  • Impressum
  • Urheberrecht & Nutzungsbedingungen
[Icon] kleiner Wissensdurst[Icon] mittlerer Wissensdurst[Icon] großer Wissensdurst